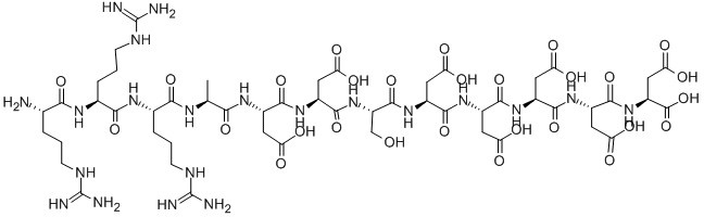
Pep03301 | H-Arg-Arg-Arg-Ala-Asp-Asp-Ser-Asp-Asp-Asp-Asp-Asp-OH | 154444-98-1
- 詳細(xì)描述
- 資料下載
|
貨號(hào) |
Pep03301 |
|
名稱(chēng) |
H-Arg-Arg-Arg-Ala-Asp-Asp-Ser-Asp-Asp-Asp-Asp-Asp-OH |
|
中文其他名稱(chēng) |
ARG-ARG-ARG-ALA-ASP-ASP-SER-[ASP]5 |
|
英文其他名稱(chēng) |
H-ARG-ARG-ARG-ALA-ASP-ASP-SER-(ASP)-5-OH;H-ARG-ARG-ARG-ALA-ASP-ASP-SER-ASP-ASP-ASP-ASP-ASP-OH;ARG-ARG-ARG-ALA-ASP-ASP-SER-[ASP]5;CASEIN KINASE-2 SUBSTRATE |
|
CAS NO. |
154444-98-1 |
|
單字母序列 |
|
|
三字母序列 |
H-Arg-Arg-Arg-Ala-Asp-Asp-Ser-Asp-Asp-Asp-Asp-Asp-OH |





南京肽業(yè)生物科技有限公司
地址:
Email: info@njpeptide.com
總機(jī):025-58361106-801
