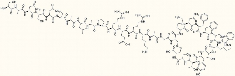
Pep13727 | (Leu8,D-Trp22,Tyr25)-Somatostatin-28 |
- 詳細(xì)描述
- 資料下載
Pep13727 | (Leu8,D-Trp22,Tyr25)-Somatostatin-28 |
|
貨號(hào) |
Pep13727 |
|
名稱 |
(Leu8,D-Trp22,Tyr25)-Somatostatin-28 |
|
CAS No. |
|
|
單字母序列 |
SANSNPALAPRERKAGCKNFF-D-WKTYTSC |
|
三字母序列 |
Biotin-Ser-Ala-Asn-Ser-Asn-Pro-Ala-Leu-Ala-Pro-Arg-Glu-Arg-Lys-Ala-Gly-Cys-Lys-Asn-Phe-Phe-D-Trp-Lys-Thr-Tyr-Thr-Ser-Cys (DISULFIDE BRIDGE CYS17-CYS28) | Biotin-Ser-Ala-Asn-Ser-Asn-Pro-Ala-Leu-Ala-Pro-Arg-Glu-Arg-Lys-Ala-Gly-Cys-Lys-Asn-Phe-Phe-D-Trp-Lys-Thr-Tyr-Thr-Ser-Cys-OH |





南京肽業(yè)生物科技有限公司
地址:
Email: info@njpeptide.com
總機(jī):025-58361106-801
