Pep13429 | pTH (13-34) (human) | 81306-64-1
- 詳細(xì)描述
- 資料下載
Pep13429 | pTH (13-34) (human) | 81306-64-1
|
貨號(hào) |
Pep13429 |
|
名稱(chēng) |
pTH (13-34) (human) |
|
其他名稱(chēng) |
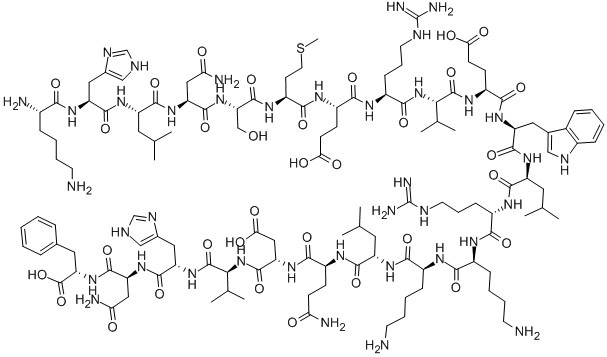
ALA-VAL-SER-GLU-ILE-GLN-PHE-MET-HIS-ASN-LEU-GLY-LYS-HIS-LEU-SER-SER-MET-GLU-ARG-VAL-GLU-TRP-LEU-ARG-LYS-LYS-LEU- H-LYS-HIS-LEU-ASN-SER-MET-GLU-ARG-VAL-GLU-TRP-LEU-ARG-LYS-LYS-LEU-GLN-ASP-VAL-HIS-ASN-PHE-OH PARATHYROID HORMONE HUMAN: FRAGMENT 13-34 PARATHYROID HORMONE (HUMAN, 13-34) PARATHYROID HORMONE (13-34) (HUMAN) PTH (HUMAN, 13-34) PTH (13-34) (HUMAN) parathyroid hormone fragment (13-34)*human parathyroid hormone (13-34)
|
|
CAS No. |
81306-64-1 |
|
單字母序列 |
KHLNSMERVEWLRKKLQDVHNF |
|
三字母序列 |
Lys-His-Leu-Asn-Ser-Met-Glu-Arg-Val-Glu-Trp-Leu-Arg-Lys-Lys-Leu-Gln-Asp-Val-His-Asn-Phe | H-Lys-His-Leu-Asn-Ser-Met-Glu-Arg-Val-Glu-Trp-Leu-Arg-Lys-Lys-Leu-Gln-Asp-Val-His-Asn-Phe-OH |





南京肽業(yè)生物科技有限公司
地址:
Email: info@njpeptide.com
總機(jī):025-58361106-801
