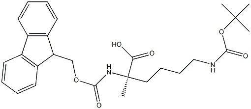
R00400|1315449-94-5|Fmoc-α-Me-D-Lys(Boc)-OH
- 詳細(xì)描述
- 資料下載
R00400|1315449-94-5|Fmoc-α-Me-D-Lys(Boc)-OH
|
中文名稱(chēng): |
(R)-NΑ-FMOC-NΩ-BOC-Α-METHYLLYSINE |
|
中文同義詞: |
(R)-NΑ-FMOC-NΩ-BOC-Α-METHYLLYSINE |
|
英文名稱(chēng): |
FMoc-α-Me-D-Lys(Boc)-OH |
|
英文同義詞: |
FMoc-α-Me-D-Lys(Boc)-OH;(R)-Na-Fmoc-NW-Boc-α-Methyllysine;Fmoc-alpha-Me-D-Lys(Boc)-OH;(R)-2-((((9H-Fluoren-9-yl)methoxy)carbonyl)amino)-6-((tert-butoxycarbonyl)amino)-2-methylhexanoic acid;(2R)-6-{[(tert-butoxy)carbonyl]amino}-2-({[(9H-fluoren-9-yl)methoxy]carbonyl}amino)-2-methylhexanoic acid;(9H-Fluoren-9-yl)MethOxy]Carbonyl Alpha-Methyl-D-Lys(Boc)-OH;(2R)-2-(9H-fluoren-9-ylmethoxycarbonylamino)-2-methyl-6-[(2-methylpropan-2-yl)oxycarbonylamino]hexanoic acid;FMoc-alfa-Me-D-Lys(Boc)-OH |
|
CAS號(hào): |
1315449-94-5 |
|
分子式: |
C27H34N2O6 |
|
分子量: |
482.56866 |





南京肽業(yè)生物科技有限公司
地址:
Email: info@njpeptide.com
總機(jī):025-58361106-801
