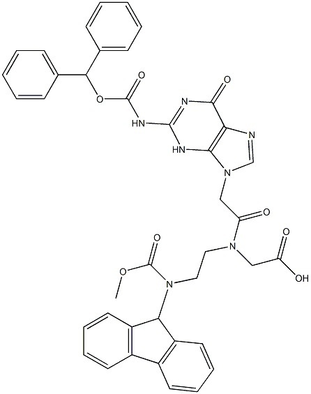
R00357|186046-83-3|Fmoc-PNA-G(Bhoc)-OH
- 詳細(xì)描述
- 資料下載
R00357|186046-83-3|Fmoc-PNA-G(Bhoc)-OH
|
中文名稱: |
PNA-鳥嘌呤單體 |
|
中文同義詞: |
PNA-鳥嘌呤單體;PNA-鳥嘌呤單體 / N- [2-[2- [[(二苯基甲氧基)羰基]氨基] - 1,6-二氫-6-氧代-9H-嘌呤-9-基]乙?;?/span>] -N- [2 - [[(9H-芴-9-基甲氧基)羰基]氨基]乙基]甘氨酸;2-[N-[2-(FMOC-氨基)乙基]-2-[2-[[(二苯甲基氧基)羰基]氨基]-6-氧代-1H-嘌呤-9(6H)-基]乙酰氨基]乙酸 |
|
英文名稱: |
FMoc-PNA-G(Bhoc)-OH |
|
英文同義詞: |
2-[2-(2-{[(diphenylmethoxy)carbonyl]amino}-6-oxo-6,9-dihydro-3H-purin-9-yl)-N-[2-({[(9H-fluoren-9-yl)methoxy]carbonyl}amino)ethyl]acetamido]acetic acid;FMoc-PNA-G(Bhoc)-OH;2-[N-[2-(Fmoc-amino)ethyl]-2-[2-[[(benzhydryloxy)carbonyl]amino]-6-oxo-1H-purin-9(6H)-yl]acetamido]acetic Acid |
|
CAS號: |
186046-83-3 |
|
分子式: |
C40H35N7O8 |
|
分子量: |
741.748 |





南京肽業(yè)生物科技有限公司
地址:
Email: info@njpeptide.com
總機(jī):025-58361106-801
