Pep03772 | (Glu8?9)-Helodermin | 209340-47-6
- 詳細描述
- 資料下載
|
貨號 |
Pep03772 |
|
名稱 |
(Glu8·9)-Helodermin |
|
中文其他名稱 |
|
|
英文其他名稱 |
(GLU8,9)-HELODERMIN |
|
CAS NO. |
209340-47-6 |
|
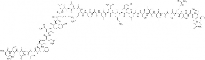
單字母序列 |
HSDAIFTEEYSKLLAKLALQKYLASILGSRTSPPP-NH2 |
|
三字母序列 |
His-Ser-Asp-Ala-Ile-Phe-Thr-Glu-Glu-Tyr-Ser-Lys-Leu-Leu-Ala-Lys-Leu-Ala-Leu-Gln-Lys-Tyr-Leu-Ala-Ser-Ile-Leu-Gly-Ser-Arg-Thr-Ser-Pro-Pro-Pro-NH2 | H-His-Ser-Asp-Ala-Ile-Phe-Thr-Glu-Glu-Tyr-Ser-Lys-Leu-Leu-Ala-Lys-Leu-Ala-Leu-Gln-Lys-Tyr-Leu-Ala-Ser-Ile-Leu-Gly-Ser-Arg-Thr-Ser-Pro-Pro-Pro-NH2 |





南京肽業(yè)生物科技有限公司
地址:
Email: info@njpeptide.com
總機:025-58361106-801
