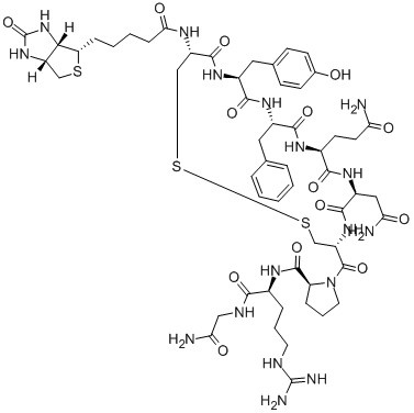
Pep14102 | Biotin-(Arg8)-Vasopressin | 126703-17-1
- 詳細描述
- 資料下載
Pep14102 | Biotin-(Arg8)-Vasopressin | 126703-17-1
|
貨號 |
Pep14102 |
|
名稱 |
Biotin-(Arg8)-Vasopressin |
|
其他名稱 |
BIOTINYL-(ARG8)-VASOPRESSIN BIOTINYL-(ARG8)-VASOPRESSIN TRIFLUOROACETATE SALT BIOTIN-CYS-TYR-PHE-GLN-ASN-CYS-PRO-ARG-GLY-NH2 BIOTINYL-AVP BIOTINYL-AVP TRIFLUOROACETATE SALT BIOTINYL-CYS-TYR-PHE-GLN-ASN-CYS-PRO-ARG-GLY-NH2 BIOTINYL-CYS-TYR-PHE-GLN-ASN-CYS-PRO-ARG-GLY-NH2 TRIFLUOROACETATE SALT Biotinyl-Cys-Tyr-Phe-Gln-Asn-Cys-Pro-Arg-Gly-NH2 (Disulfide bridge Cys1-Cys6)
|
|
CAS No. |
126703-17-1 |
|
單字母序列 |
Biotin-CYFQNCPRG-NH2 |
|
三字母序列 |
Biotin-Cys-Tyr-Phe-Gln-Asn-Cys-Pro-Arg-Gly-NH2(DISULFIDE BRIDGE: CYS1-CYS6) | Biotin-Cys-Tyr-Phe-Gln-Asn-Cys-Pro-Arg-Gly-NH2 |





南京肽業(yè)生物科技有限公司
地址:
Email: info@njpeptide.com
總機:025-58361106-801
