Pep18161|SAMStide|125911-68-4
- 詳細描述
- 資料下載
Pep18161|SAMStide|125911-68-4
|
貨號 |
Pep18161 |
|
中文名稱 |
薩姆斯肽 |
|
中文其他名稱 |
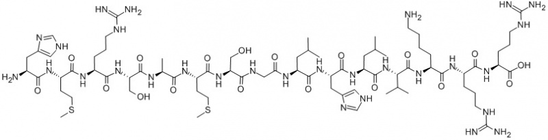
HIS-MET-ARG-SER-ALA-MET-SER-GLY-LEU-HIS-LEU-VAL-LYS-ARG-ARG |
|
英文名稱 |
SAMStide |
|
英文其他名稱 |
(SER76,ARG86,87)-ACC-ALPHA (73-87) (DEPHOSPHORYLATED) (E COLI, RAT); (SER76,ARG86,87)-ACETYL-COA CARBOXYLASE 1 (73-87) (DEPHOSPHORYLATED) (E COLI, RAT); (SER77,ARG87,88)-ACC-ALPHA (74-88) (DEPHOSPHORYLATED) (BOVINE, OVINE); (SER77,ARG87,88)-ACETYL-COA CARBOXYLASE 1 (74-88) (DEPHOSPHORYLATED) (BOVINE, OVINE); SAMS PEPTIDE; HIS-MET-ARG-SER-ALA-MET-SER-GLY-LEU-HIS-LEU-VAL-LYS-ARG-ARG; HMRSAMSGLHLVKRR; H-HIS-MET-ARG-SER-ALA-MET-SER-GLY-LEU-HIS-LEU-VAL-LYS-ARG-ARG-OH |
|
CAS No. |
125911-68-4 |
|
單字母序列 |
HMRSAMSGLHLVKRR |
|
三字母序列 |
His-Met-Arg-Ser-Ala-Met-Ser-Gly-Leu-His-Leu-Val-Lys-Arg-Arg | H-His-Met-Arg-Ser-Ala-Met-Ser-Gly-Leu-His-Leu-Val-Lys-Arg-Arg-OH |





南京肽業(yè)生物科技有限公司
地址:
Email: info@njpeptide.com
總機:025-58361106-801
